HOME>統計分析系>正規分布

正規分布

正規分布1

過去のデータから推計して将来を占う、という方法は何もテクニカル分析でなく、人間の すべての行動の基本となるものです。
それが時にトレンドであったり、加熱であったり、そうした後の経験則を整理してテクニカル分析は 決まります。

しかし近年になってよりそれらがより高度な統計理論を覗くようになってきました。

保険業の保険率、つまり保険料を決めるのは、統計的に、病気や事故をカウントしてそこから 妥当な保険料を決めていくことや、選挙速報で、当確を打つ理論も統計的な礎があってのものです。

さて、それらの中心となっているのは、正規分布という特別な分布であり、それを応用した 中心極限定理です。
正規分布はその形からベルカーブと呼ばれ、その存在は特別重要な意味をもち、その分布は もっとも自然に一般的に現れることが知られています。

正規分布2

統計学、その理論の柱ともいえる正規分布は今や自然科学、社会科学の 様々な場面で確認されるだけでなく、保険やファイナンスのビジネス上でも 欠かすことのできな役割を果たしています。

特に現代の金融工学はデリバティブを含めてすべてこの理論中心に 成り立っており、市場解析にも欠かせません。

正規分布はものごとがランダムに振る舞うとき、その分布が平均値から どれくらい離れるかを確率で示します。
その分布が標準偏差1σの範囲に収まる確率は68.26%
2σなら95.44%、そして3σなら99.73%の振る舞いが収まります。


これらは、振る舞いがランダムになれば、なるほど、有意性増します。
たとえば、木の葉が落ちる木の下の範囲の分布、正確なサイコロの同一数字連続出現の数、 そして、同時に標本数が多ければ多いほど、それはランダムに近づきます。

正規分布とボリンジャーバンド1

さて、このような正規分布は現代金融工学のデリバティブデリバティブ計算に取り入れられ 将来の価格が、配当と利回りだけの単純な理論値だけでなく、確率によっても表現されるように なりました。

3ヶ月後にいくらになるか、というのでなく、3ヶ月後にいくらになるには、どれくらいの可能性が あるのかが、オプション市場で必要であったからです。

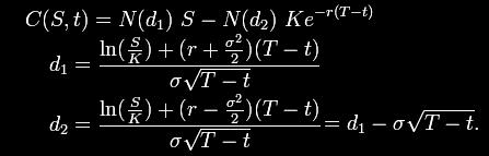
それは現在のオプション市場で計算式のスタンダードとなっている
フィッシャー・ブラック

と マイロン・ショールズ

両大先生が導き出したブラック-ショールズ方程式


上はヨーロピアンCALLの理論価格

のNという部分にも現れています。

Nは正規分布の式

で、これらがマーケット形成のための重要な部分を占める理論価格に欠かせないものとなっているのです。

それ(正規分布)は、これらの理論の完成が二人のノーベル経済学受賞を導いたように、いかに社会に とっても重要な意味を持っているかが分かります。

ちなみにこの式、ブラック-ショールズ方程式の完成は、1973年、ノーベル経済学受賞は1997年です。

さて、この分布をテクニカル分析にはじめて応用したのは、すでに解説済みのボリンジャーバンドです。

正規分布とボリンジャーバンド2

さて、その正規分布を取り入れた画期的なチャート、ボリンジャーバンドは、帯という表現の 部分では一目均衡表に似ていますが、計算方法は統計学を取り入れたものです。

転換線、基準線 、先行スパンなどの重要な計算式になぜ、9や26や52という数値を基本としているのか、 またその数値でなくては、なぜならないのか?などは語られていませんが、ボリンジャーバンドの 基本計算式である

この式に、もし疑問があるのなら、それはすべて証明されているのです。

たとえば、πをなぜ使うのかは、さらに数学的な証明をもって自然界の振る舞いの中で、 基本的最重要数値であることは、自明の理となっているのです。

さてそういった優れた感性で完成されたボリンジャーバンドですが、問題点もあります。

正規分布とボリンジャーバンド3

ボリンジャーバンドの問題点は、正規分布自体のアイデアが理想的なのに対し、扱っている 相手が理想的でないことです。

つまり、マーケットが正規的に分布していないかもしれない、ということです。
もし、正規的分布=ベルカーブ型 でないのなら、そこに意味を見つけ、対応していかなくては なりません。

たとえば、保険の料率を決めるのは、事故率です。
それもその種の事故がたくさん発生し、ほとんどランダムに起こるなら、その保険料は正当に 計算され、実際は、それでその業界は成り立ってきました。

編に偏らない、といことです。
しかし、これが大事件に代表されるような突発的なことであれば別です。
事件、事故、これらが非常にまれに起こり、たくさん発生しないものに対しては、この分布を 当てはめることはできないのです。

火災保険に、以前まで地震が免責になっていたのはこのためです。
現在でもこのため、火災保険は、地震が起こっても安全な家屋に対して、つまり地震が起こっても変わらない 建物の中での損害を補償する、ということになっています。

さて実際にボリンジャー分布はどのような分布になっているのでしょう。
NYダウ 日足 6000日の検証

正規分布とモンタナバンド1

さて、ボリンジャー分布は実際には、ベルカーブとなっていないことが多くあります。

ドル円 4000日

ベルカーブの分布をしていることでより的確な分析ができます、モンタナバンドはその分布の部分において 遙かに魅力的な形状を提供しています。

モンタナ分布 ドル円 4000日


そしてこの形状を正規分布と照らし合わせてみると

正規分布とモンタナバンド2

正規分布をどうマーケットに活用させるか、そのツールとしてモンタナバンドを紹介しました。

これらの応用は旧態依然のテクニカル指標の中でも異色なものです。
しかしながら、ボリンジャーバンドをはじめ、このように、より統計的に意味のある指標を使うことは 決して不自然な物でなく、その分析の見方によって、さまざな意味を見いだせるのです。

モンタナバンドの基本的な見方は、ボリンジャーバントと同じですので、ボリンジャーの項目を おさらい下さい。



HOME>目次:統計分析系>正規分布